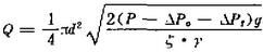
阻火器內裝有致密的阻火芯,油罐進行呼吸時,它會對通過的氣流產生一定的壓降。這雖然和機械呼吸閥的開啟時機無關。卻對呼吸閥的透氣量有很大影響。機械呼吸閥透氣量的計算公式如下:

式中P——油罐的內外壓差,Pa;
△P0——阻火器的壓降,Pa;
△Pt——呼吸閥閥盤的靜壓強,Pa;
d——呼吸閥閥座直徑,m;
ζ——呼吸閥結構的摩阻系數;
γ——呼出或吸入氣體的容重,N/m3;
g——重力加速度,m/s2;
Q——呼吸閥的透氣量,m/s。
從上式可知,阻火器的壓降△P0愈大,呼吸閥的透氣量愈小。阻火器的壓降大小和它的結構及氣體流量有關。新式ZGB-1型波紋阻火器的壓降曲線見圖1。從圖可知,當通過呼吸閥的氣體流量較小時,阻火器的壓降很小,可以忽略不計。例如DN100波紋阻火器,當氣體流量小于80m3/h時,阻火器的壓降△P0為零,這就是油罐上部空間的實際壓力剛超過呼吸閥控制壓力時,呼吸閥閥盤開啟并能順利呼氣(或吸氣)的原因所在。當呼吸閥的通氣量增大,阻火器的壓降也迅速增大。對于DN100波紋阻火器,當氣體流量為150m3/h時,壓降△P0為80Pa;當氣體流量為200m3/h時,△P0達到150Pa。阻火器的壓降隨氣體流量的增大而迅速增大的特性,極大地限制了呼吸閥透氣量的增加,在阻火芯被灰塵等雜物堵塞后,這點將表現得更加突出。因此,筆者認為,對于那些裝設了規格合適、性能良好的呼吸閥,在夏季雷雨天仍發生癟罐事故的油罐,問題很可能出在阻火器上,因為機械呼吸閥在設計時已充分考慮了夏季雷雨天油罐呼吸的特性需要。

圖 1 阻火器壓降曲線
為了防止因使用阻火器而影響油罐的正常呼吸,造成油罐的脹裂或吸癟,筆者建議:①要按產品使用說明書的要求,半年檢查一次阻火器,被堵塞的阻火芯應清洗干凈,確保孔眼暢通;變形和腐蝕了的阻火芯應及時更換。②在易發生吸癟油罐事故的單位和地區,對容量較大的油罐,可考慮機械呼吸閥與液壓閥并用,或裝設兩個機械呼吸閥。
地 址:上海市金山區興塔工業區
咨詢電話:021-5736 2601
手機號碼:138 1635 7694
電子郵箱:hanyuev@163.com
網 址:http://www.tengteng88.com